INCI Name: Sodium Ascorbyl Phosphate
CAS No.: 66170-10-3
Brand Name: Brillian®
Company Code: Brillian®-MB300
Chemical Name: L-Ascorbic acid-2-(dihydrogen phosphate), sodium salt (1:3)
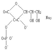
Structure:
Appearance : White or almost white powder
PH: 8.0-10.0
Assay [by HPLC]: ≥98.0%
Storage : 10-30℃ temperature Keep dry and sealed away from light.
Shelf Life: 3 years
Package : 1kg, 10kg, 20kg
Reference Addition: 1~3%
Other Similar Active Ingredients
|
Alpha-Arbutin |
Brillian®-MB207 |
|
Arbutin (Beta-Arbutin) |
Brillian®-MB208 |
|
Kojic Acid |
Brillian®-MB218 |
|
Kojic Acid Dipalmitate |
Brillian®-MB228 |
|
Tranexamic Acid |
Brillian®-MB258 |
|
Ethyl Ascorbic Acid |
Brillian®-MB268 |
|
Raspberry Ketone Glucoside |
Brillian®-MB280 |
|
Potassium Azeloyl Diglycinate |
Brillian®-MB22 |
|
Skincare Additive BL65 |
Brillian®-BL65 |


